








|
Library
|
Your profile |
This work is licensed under a Creative Commons Attribution-NonCommercial 4.0 International License.|
Historical informatics
Reference:
Borodkin, L., Vladimirov, V.N., Garskova, I.M. (2025). Measuring Inequality: Analysis of Wage Differentiation Data in Soviet Industry during the First Five-Year Plans. Historical informatics, 4, 158–176. https://doi.org/10.7256/2585-7797.2025.4.77592
Measuring Inequality: Analysis of Wage Differentiation Data in Soviet Industry during the First Five-Year Plans
DOI: 10.7256/2585-7797.2025.4.77592EDN: SEXGRSReceived: 12/31/2025Published: 01/07/2026Abstract: The article is devoted to studying the dynamics of wage differentiation among industrial workers in the USSR during the first two five-year plans. The primary focus is on analyzing to what extent the policy of combating "wage leveling" (уравниловка), proclaimed in 1931, led to a real increase in pay inequality. The source base consists of archival documents and statistical publications from the 1920s–1930s. The novelty of the work lies in the comprehensive use of quantitative methods to analyze wage policy at the intersection of two eras – the end of the NEP and forced industrialization – as well as in verifying the thesis of the "struggle against wage leveling" using specific statistical data on industries and regions. The study analyzes wage differentiation indicators in Soviet industry as a whole, in key industries (coal mining, metallurgy), and at the regional level. Statistical tools for measuring inequality are applied: the Gini index and the decile coefficient; Lorenz curves are constructed for visualization. The Appendix to the article describes the methodological problems of working with interval statistical data and proposes an algorithm, developed by the authors in Python, for calculating inequality indicators with varying structures of initial interval data on the distribution of workers by wage level. The results of the analysis lead to the following conclusions: in the late 1920s and early 1930s, the leveling tendency that began during the NEP years generally persisted; at the industry level, a turning point emerged in the early 1930s – wages in priority heavy industry sectors began to grow at an accelerated pace. From a regional perspective, data analysis for the Kuzbass coal industry in 1935 showed a higher level of differentiation compared to the late 1920s, indicating the implementation of a policy related to increasing the role of material incentives for labor. This is also evidenced, in particular, by the dynamics of the wage ratio between highly-skilled and low-skilled workers. Keywords: inequality measurement, wage differentiation, Gini index, Lorenz curve, labor incentives, Soviet industrialization, heavy industry, Five-pYears-Plans, labor productivity, KuzbassThis article is automatically translated. Introduction 2025 marks the centenary of the course of industrialization of the USSR, designated by the XIV Congress of the CPSU (b) In December 1925, who commissioned the preparation of the first five-year plan. The publication of this issue of our journal in December 2025 explains the publication of this article in this issue. The fulfillment of the planned tasks of the first five-year plans during the years of industrialization required an increase in labor productivity in all sectors of the economy. During the first five–year plan (1928-1932), labor productivity in Soviet industry grew at an average rate of 8.2% per year, and in the second five-year plan (1933-1937) - 13.9% (estimated) per year [1]. An important factor in the growth of labor productivity in the process of Soviet industrialization was the material motivation of industrial workers. The problems that emerged in this area during the first five-year plan were discussed at the All-Union Meeting of Business Executives in June 1931, where, in particular, the task was set to "eliminate labor turnover, eliminate equalization, properly organize wages, and improve the living conditions of workers" (from Stalin's speech [2]). As a result of this meeting, intensive work began on the modification of the tariff system by the Supreme Council of National Economy, the All-Russian Union of Industrialists and Entrepreneurs, and the industrial Commissariats in the direction of increasing wage differentiation, taking into account the qualifications of workers and their productivity; the planned increase in wage differences in industries (with heavy industry as a priority); the transfer of a number of working professions to a predominantly piecework form of remuneration, etc. For example, A. K. Sokolov noted that already in the early years of Soviet power, "... the main conflict in the field of labor relations in Soviet times was outlined: the struggle of an equalized and differentiated policy in the field of remuneration for work" [3, p. 178]. To what extent did the measures taken make it possible to move away from the "equalization" characteristic of the NEP period and increase the differentiation of the actual wages of industrial workers in the first five-year plan and at the beginning of the second? This task was set by the government in 1931 in order to increase the incentive for more productive work. In this paper, the task is to identify sources for measuring wage differentiation in the Soviet industry as a whole and in individual sectors, as well as to analyze such indicators. The regional aspect is also of interest. In this regard, we will turn to the sources of remuneration in the Siberian industry during the first two five-year plans. Data and methods The most accurate estimates of differentiation can be obtained in cases where sources make it possible to use the Gini index based on the distribution of employees across salary intervals, indicating the appropriate number (or proportion) of employees in each interval. The Gini index takes values from 0 to 1; the closer its value is to 1, the higher the degree of inequality. Visualization of such distributions is based on the construction of the Lorentz curve. If the source makes it possible to estimate the share of employees only in the upper and lower ranges, a decile coefficient can be used as an estimate of the degree of differentiation, which shows the ratio of total income in the upper and lower ten percent groups. The characteristics of these meters, taking into account the specifics of the statistical sources used in our study, are given in the appendix to this article. However, more often than not, the identified relevant sources contain other information about wage differences that does not have an interval data structure. Such sources may contain systematic information about the salaries of employees of certain professions in the relevant industry or in large enterprises. These data can be used to assess trends in industrial wage inequality by analyzing the dynamics of the ratio of the average salary of the highest-paid profession to the lowest-paid. All of these types of measurements are used in this study. The datasets created during our project replenish the thematic digital resource "Labor Remuneration in the Russian Empire/USSR and its Differentiation", posted on the website of the Department of Historical Informatics of the Faculty of History of Moscow State University – https://hist.msu.ru/Departments/Inf/Evolution/sources.htm Data analysis The works published in recent years on the analysis of the dynamics of indicators of differentiation of actual salaries in the USSR industry during the NEP years revealed the dominance of the trend towards "equalization" [4-8]. The main source here were statistical publications of the 1920s. However, the sources do not contain the same regular data for the period of the first and second five-year plans. There is especially little interval data on the distribution of salaries for 1931-1933. Even the statistical publications of the "Labor in the USSR" series noticeably reduce the amount of such data: for example, after the publication of the handbook in 1932 [9], which included some data on the distribution of industrial workers by daily and monthly earnings intervals for 1929-1930, such data appeared only in 1936. The publications "Labor in the USSR (Statistical Handbook)" [10] and "The number and wages of workers and employees in the USSR (Results of one-time accounting for March 1936)" [11] provide data on salaries, but these are mainly average values by industry and region, but not differentiated by salary level. Table 1 shows data on the amount of earnings of workers in the USSR factory industry in March 1926, 1927, 1928, 1929 and 1930 by salary intervals, which include the years of the NEP and the beginning of the first five-year plan from the statistical publication "Labor in the USSR" [9, p. 32]. Table 1.Distribution of workers (in percent) by pay interval
Sources: The data for 1926-1930 are given according to [9, p.32]. The data for 1924-1925 are given according to Table 30 from [12, p. 133] using information for 1924 and 1925 from [13, p.14]; the columns from Table 30 "up to 20 rubles" and "from 20 to 40 rubles" are combined into the column "up to 40 rubles" in order to ensure comparability of both sources. The data in table 1 show that during the period 1924-1930, the share of the lowest-paid workers decreased markedly, but the number of those who received more than 150 rubles per month increased significantly, to 7.6%. In 1930, a relatively high salary (from 80 to 150 rubles) was received by more than 40% of workers, and in 1924 it was 7.3%. It should be noted that the data in table 1 characterize nominal wages (without adjusting for the inflationary process), which, however, does not play a significant role in assessing the dynamics of differentiation indicators. The calculation of decile coefficients and the Gini index based on data on workers' salaries in the first years of the first five-year plan yields the following results (see Table 2). Table 2. Indicators of differentiation of workers' salaries in the USSR industry (1928-1930)
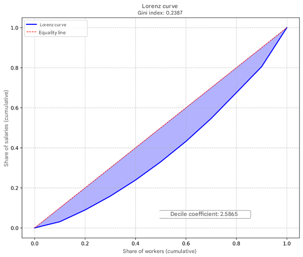
Note: Considering that the lower and upper intervals in the original Table 1 are open, the method described in the Appendix was used to calculate the values of the Gini index and decile coefficient. From the table. 2 it can be seen that the values of the Gini index show a weak tendency to decrease differentiation; the dynamics of the decile coefficient shows a more noticeable equalizing trend. Figure 1 shows the Lorentz curve according to Table 1 for 1930. The "shaded" area is almost 24% (more precisely 0.2387) of the area of the triangle under the diagonal, the line corresponding to full income equality. Fig. 1. Lorentz curve on differentiation of wages of industrial workers of the USSR For comparison with the data for 1929 and 1930 for the entire manufacturing industry, we can consider industry-specific data for the coal and metallurgical industries, distributed over more fractional intervals (see Table 3). Table 3. Indicators of the level of differentiation of workers' salaries at the sectoral level (1929-1930)
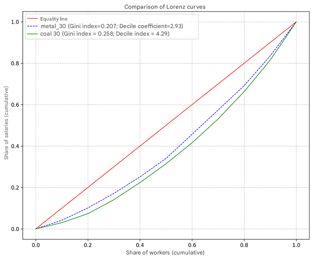
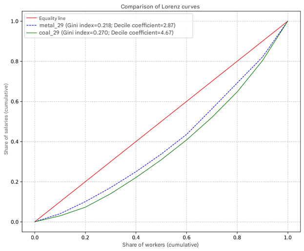
Source: [9, p. 138]. The calculation of industry decile coefficients and the Gini index yields the following results: Table 4. Decile coefficients and Gini indices according to Table 3
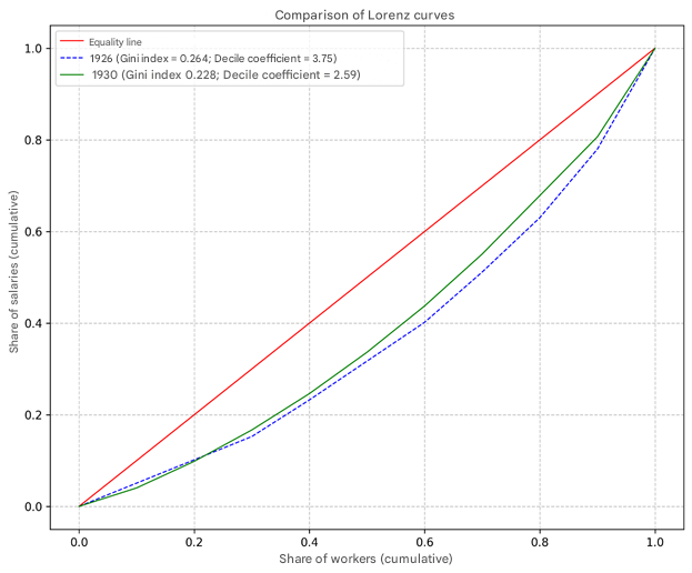
It can be seen that the values of the Gini index for the coal and metallurgical industries differ markedly: in the first case, the differentiation is significantly higher, but in general, the equalizing trend in wage regulation persisted, as evidenced by the dynamics shown on the Lorenz curve, based on industry data for 1929 and 1930. (Figures 2 and 3). 2. Comparison of the level of differentiation in the coal and metallurgical industries in 1929. 3. Comparison of the level of differentiation in the coal and metallurgical industries in 1930. Let us turn to the issue of the dynamics of differentiation of workers' salaries by industry as a whole "at the end of the NEP" and in the early years of industrialization (1926-1930). As clearly shown in Fig. 4, the equalizing trend had features in the range of the lowest wages, where the Lorenz curve for 1926 is higher than the curve for 1930, and in the following the intervals are lower. It should be noted that in A. Bergson's thorough work, the construction of Lorentz curves reflecting the differentiation of workers' wages in 1928 and 1934 does not contain such an effect. Perhaps this is due to the fact that A. Bergson [14] used only 4 intervals (focusing on the quartile values in the interpretation). 4. Dynamics of salary differentiation for the period 1926-1930 (according to Table 1) The lack of interval data for 1931-1933 leaves open the question of whether there really was a tendency for inequality to increase during this period, however, we can use simpler data on wages both by industry and in relation to the earnings of the most skilled, highly paid professions to low-paid ones (for example, laborers) to assess differentiation. There is a lot of such information. Table 5 shows the values of salaries in various industries in 1928 and 1934. Table 5. Dynamics of monthly earnings in the most important industries in 1928-1934
Source: [15, p. 82] It is noticeable how significantly the regulation of workers' salaries changed after Stalin's well-known instructions on the elimination of equalization at a meeting of business executives in June 1931. As a result, heavy industry industries that had previously lagged behind in terms of salaries began to come out ahead. With an average 2-fold increase in industrial workers' salaries, wages in certain sectors of heavy industry have increased much more significantly. As an example of changing wage priorities in heavy and light industry, Figure 5 compares wage data in the coal and shoe industries from 1928 to 1934. 5. Comparison of the dynamics of average wages in the sectors of heavy and light industry of the USSR (1928-1934, according to Table 5). Regional specifics: data analysis for Siberia The source base for studying the differentiation of salaries of industrial workers in Siberia during the first five-year plans is significantly inferior in comparison with the previous period of the New Economic Policy. This was also influenced by the administrative and territorial reform of 1930 - the formation of the West Siberian and East Siberian territories with the restructuring of statistical agencies. For the period of the late 1920s and the first half of the 1930s, there are only a few statistical publications that can be used to varying degrees as a source for labor and wage statistics of enterprises in the West Siberian Region [16-20]. From the point of view of completeness of statistical data, the most informative of them is the statistical yearbook "National Economy of Siberia" in 1936, which contains extensive information on labor statistics, including a variety of materials on workers' wages, with special attention being paid to the coal industry [19, pp. 328-329, Table 7]. This is determined by the special role that Kuzbass has played since the beginning of industrialization. It is important for us that the yearbook contains tables of the interval distribution of workers by monthly earnings in industry and construction [19, pp. 330-331, 338-341, tables 8, 14], which allows us to move on to measuring wage inequality using indicators such as decile coefficients and the Gini index. For a number of positions, the source makes it possible to compare the level of wage differentiation across the industry as a whole with the same indicators for individual enterprises. Before proceeding to the analysis of sources characterizing the first five-year plans, let us turn to the results obtained earlier during the analysis of data on differentiation in Siberia in the second half of the 1920s (Table 6). Table 6. Dynamics of wage differentiation indicators for industrial workers
Source: [6, p. 91]. As the data in Table 6 show, the value of the regional decile coefficient decreased markedly in the second half of the 1920s, from 3.56 to 2.50. The same applies to the Gini index, which decreased from 0.25 to 0.19. This reflects the dominance of the equalizing trend in the dynamics of wage differentiation in Siberia in 1925-1929. Considering the lack of systematic data on the processes of wage differentiation of Siberian workers in 1931-1934, let us turn to the aforementioned yearbook "National Economy of Zapsibkray", published in 1936. Table 7 presents data on the Kuzbass coal industry (the leading industry in Siberia during the years of industrialization) and on a number of enterprises in the industry, obtained from a survey conducted in October 1935. Eikhe and the mine named after him. Voroshilov came into operation during the first five-year plan, in particular, high-quality coking coal was mined here for ferrous metallurgy enterprises [21]. The rest of the mines were laid back in the pre–revolutionary period, in the late 19th and early 20th centuries. Table 7. Indicators of wage differentiation in enterprises
Source: [19, pp. 330-331, Table 8]. A comparison of the data in Tables 7 and 6 shows that in 1935, the degree of wage differentiation among workers in the Kuzbass coal industry was noticeably higher than the values of the corresponding indicators calculated for industrial workers in the Siberian Region in the late 1920s. This is confirmed by our calculation of the ratio of wages of workers in one of the most highly paid professions related to coal mining – miners – to coal industry laborers. In 1928-1929, the monthly earnings of a slaughterer exceeded the earnings of a laborer by 1.39–2.50 times (according to the materials of the Anzhero-Sudzhensky district, Kemerovo and Leninsky mines (calculated according to [22, p. 30, Table 14;]). In 1934, this ratio was 2.96 for the entire coal industry in Western Siberia. According to the ratio of average hourly earnings at the same time, manual slaughterers (manual slaughterers are slaughterers who did not use jackhammers. – the term from the source) were ahead of the laborers by 3.51 times. Thus, it can be concluded that the ratio of salaries of high- and low-skilled workers, having significantly decreased by the end of the 1920s, increased markedly by the mid-1930s (calculated according to: [19, pp. 328-329, Table 7.]). These comparisons reflect the results of the restructuring of the wage system in the coal industry, initiated by Stalin's speech at the high-profile All-Union Meeting of Business Executives in June 1931. Already on July 7 of the same year, the appeal of the Council of People's Commissars of the USSR, the Central Committee of the CPSU(b) and the Supreme Economic Council of the USSR to all party, Soviet-economic, trade union and Komsomol organizations "On the tasks of the Donbass coal industry" was adopted, which noted: "To the Coal Association and the Central Committee of the Union of Coal Workers within a 2-month period to completely eliminate wage equalization and introduce such forms of remuneration that would provide significant advantages for leading qualifications, stimulate increased productivity and work experience" (https://istmat.org/node/52005 ). On September 10, 1931, at a meeting of the Politburo of the Central Committee of the CPSU(b), a resolution was adopted "On restructuring the wage system in metallurgy and the coal industry" (https://istmat.org/node/53603 ), which emphasized that "the wage system does not fulfill its role as a powerful lever for increasing labor productivity." It also stated that the current tariff schedule should be changed by introducing 11 tariff rates instead of 27 for the entire Donbass coal industry. As a result, the difference in tariff rates for high-skilled and low-skilled workers was adjusted to create more effective incentives for productive, skilled labor. On April 8, 1933, the Decree of the Council of People's Commissars of the USSR and the Central Committee of the CPSU(b) "On the work of the Donbass coal Industry" was published, which, in particular, set the task of eliminating equalization in the wage system in the industry, which required "providing higher wages for underground workers compared with above-ground workers" (https://istmat.org/node/58831 ). It should be noted that although the above-mentioned documents of the governing bodies related to the state of affairs and tasks of the Donbass industry, they were considered as guidelines for decision-making by the party and economic bodies of Kuzbass. Thus, in October 1930, there was a significant increase in the salaries of coal miners (by 19%), which was "a direct consequence of the implementation of the conclusions and decisions of the Government Commission that had completed its work in Donbass by that time" by V. M. Molotov [23, p.205]. At the same time, "the leading underground professions and, mainly, those related to mechanization" were highlighted. Characteristically, the rates of skilled workers, for example, machinists, were increased by 27%, while those of surface handlers were increased by 4%. In addition, instead of the twelve-digit tariff grid used at that time in Kuzbass, a ten-digit grid was introduced [23, p. 205]. Finally, in connection with the implementation of the above-mentioned decree "On restructuring the wage system in metallurgy and the coal industry" in Kuzbass, from October 1, 1931, another salary increase was carried out by an average of almost a quarter. Thus, "in essence, the beginning was laid for the elimination of wage equalization" [23, p. 205]. Table 8. Evolution of wage rates for workers
*The haulers and haulers were responsible for delivering coal trolleys to the surface. Source: [23, p.206]. As follows from the data in Table 8, the tariff rate of machine operators, the most skilled workers, increased by 2.67 times in three years, while the rate of rollbacks increased by only 1.53 times in the same three years. Another way to measure the growing wage inequality of workers in the Kuzbass coal industry during the first five-year plan is related to the ratio of the tariff rates of machinists and rollersfor the same three years. If in 1928 this ratio was 2.06, then in the autumn of 1931 (after Stalin's June speech and the September decree "On the restructuring of the wage system in metallurgy and the coal industry") The ratio reached 3.59. This dynamic is clearly shown in Fig. 6. It reflects not only the growing range between the tariff rates of highly skilled and low-skilled workers, but also the actual levels of their salaries, as evidenced by the high correlation coefficient between tariffs and salaries (0.88 in this case). Fig. 6. Dynamics of the ratio of tariff rates for machinists and rollback machines (1928-1931) Thus, a comparison of the data in Tables 7, 8, and 9 shows that the equalizing trend in wages for Kuzbass coal miners, which dominated during the NEP and the initial period of the first five-year plan, has been shifting towards increasing differentiation since the second half of 1931, reflecting a sharp change in the course of the country's leadership on this important issue against a backdrop of not very impressive the results of the implementation of plans for the growth of labor productivity in industry. 1935: "unprecedented opportunities for increasing labor productivity are opening up" In 1936, Novosibirsk published the above-mentioned collection of articles entitled "The Second coal base of the USSR. Kuzbass" [23], which contains a lot of valuable information concerning a wide range of issues about the formation of a powerful coal basin in Western Siberia during the first five-year plans. I. N. Khromtsov, the author of one of the articles in the collection (the article is called "Labor") analyzed the system of measures to increase labor productivity in the Kuzbass industry and noted, in particular, "wage regulation in accordance with labor productivity." Comparing the growth of labor productivity in the first five–year plan and in 1933-1934, he noted that "what has been achieved should be considered far from sufficient," that in the two years of the second five-year plan, "we have already lagged behind (from the planned indicators - Auth.) in labor productivity by 5-6%." And further: "But we have every opportunity to decisively raise labor productivity in the near future." It is at this point that the text of I. N. Khromtsov's article, published in the above-mentioned collection, ends, and then the final page goes under the heading "FROM THE EDITORIAL BOARD." The editorial text, which continues Khromtsov's ragged article, seems to us so important in the context of our research that it is difficult to do without detailed citations here. "The work of Comrade. Khromtsova was written in the first half of 1935 and, in conclusion, outlined "some ways to further struggle to increase labor productivity." When this book was published (October-November 1935), there were already the first results of the Stakhanov movement in Donbass and Kuzbass, which completely overturned all previous ideas about the "limits" and "norms" of labor productivity. Under these conditions, it seemed impossible to talk about "ways to further struggle to increase labor productivity in the language of "pre-Stakhanov," and we crossed out the end of the author's article. What are the real ways to continue the struggle to increase labor productivity? They were shown by Alexey Stakhanov and other Stakhanovites in Donbass, Ivan Akimovich Borisov and other Stakhanovites in Kuzbass. On November 18, 1935, Comrade Borisov produced 778 tons in one shift, working with a jackhammer. coal. This is not a record, but a revolution in mining! And what did this wonderful man say about his work? "Proper organization of labor, full use of mechanisms, consolidation of the working day, careful preparation and maintenance of the workplace create such opportunities to always, constantly give the highest labor productivity, as they say, Stakhanov productivity." I. A. Borisov produced 778 tons in one shift, working with 10 fasteners; he was serviced by 2 electric locomotives and 4 horse-drawn wagons. In a six-hour shift, he cleaned 11 belts, and the first two belts were 12 m long, with a reservoir capacity of 3.75 m, he dismantled in 50 minutes, chopping 140 m3 of coal during this time. He cleared the next 140 m3 in 57 minutes. The next day, on November 19, he went down into the mine with not 10, but 7 members of his team and delivered 415 tons. Doesn't this prove that talking about "marginal" norms and world standards is the bourgeois chatter of people who don't understand anything about the movement of millions, for whom work has become a matter of honor, a matter of glory, a matter of valor and heroism? And Comrade was absolutely right. Borisov, when he declared that "only we have unprecedented opportunities for raising labor productivity, such a powerful movement as the Stakhanov movement is possible." In conclusion, we note that in 1935 a new stage of the struggle for the growth of industrial labor productivity began during the years of Soviet industrialization. The emphasis is on stimulating the individual success of Stakhanovite leaders and their followers, and this applies not only to their higher salaries, but also to a number of other non-monetary forms of encouragement. However, this stage was not long-lasting, which began to emerge by the end of the third five-year plan. Application Measuring inequality under conditions of variation in the structure of interval data This appendix examines some of the methodological problems faced by researchers who wish to assess the degree of economic inequality in the presence of interval data presented in statistical sources. Income inequality (or salary differentiation) is measured using the Gini index and the decile coefficient. The number of salary intervals and their sizes in the sources studied may vary. The Gini index does not have to be counted strictly in 10 intervals. The number of intervals (or population groups) is not fixed and may vary depending on the available data and the objectives of the study. Ideally, the Gini index is calculated based on a complete (continuous) series of data on all incomes of the population, which allows you to build an accurate Lorentz curve (for more information, see: https://books.econ.msu.ru/Introduction-to-Economics/chap05/5.2 / ) In practice, aggregated data is more often used, divided into groups (intervals), for example, quartile (4 groups) or decile (10 groups), where for each group its share in the population and its share in total income are known. Using a large number of intervals, as a rule, increases the accuracy of the calculation, bringing the result closer to the value obtained from the complete data. However, even when using decile groups (10 intervals), the result is accurate enough for most practical purposes and is widely used in statistics (for example, by the World Bank and Rosstat). In our study, the choice of 10 intervals is dictated by the need to ensure comparability of the results obtained for different datasets using different interval groupings. Therefore, as part of our project, we have developed an algorithm that works with a large number of intervals, combining them into 10 intervals of 10% if necessary, as well as with a small number of intervals, dividing them into 10 intervals of 10% if necessary. The algorithm was implemented in a Python program created as part of our project. 1. When using aggregated data (grouped by intervals), the Gini index is usually slightly underestimated compared to its true value (corresponding to the totality of the original individual data), because the calculation method assumes an even distribution of income within each interval, which smooths out the real inequality within the groups. The number of intervals and their boundaries are usually determined by the compilers of the tables presented in the source, but you can transform this data by changing the number of intervals. Usually, the source data includes unequal intervals and the number (percentage, proportion) of objects in each of them. Therefore, it is necessary to construct a cumulative distribution function and find the values corresponding to 10%, 20%, ..., 90%, and then build new intervals between these values. For this purpose, the assumption is used that the data within each interval is evenly distributed. Then, using linear interpolation, you can calculate the position of each decile within its "own" interval. 2. Another problem is the lack of an accurate lower bound in the first range (for example, "up to 30 rubles") or an accurate upper bound in the last (for example, "over 500 rubles"). When calculating the Gini index, this leads to a distortion of the assessment of real inequality, as it makes it difficult to accurately determine the income share of the poorest and richest groups, potentially underestimating (in the absence of a maximum) or overestimating (in the absence of a minimum) the index value; in general, this makes it less accurate. It is usually assumed that the minimum income is zero. This is logical in the context of income distribution, but for salary distribution it is better to take the size of the first interval the same as the size of the second. The last interval (without an upper bound) is the most problematic. The simplest but least accurate method is to equate the length of the last interval to the length of the penultimate interval. More sophisticated approximation methods can also be used. However, in some cases, when calculating the decile coefficient, it is possible to do without accurately defining the boundaries if the threshold values themselves (1st and 9th deciles) fall within closed intervals. The program implemented in our project for assessing the degree of inequality in the distribution of salaries performs the following functions: calculating the Gini index and decile coefficient, as well as constructing the Lorentz curve (using the pandas, matplotlib, numpy libraries; error handling and data validation are also implemented). Assumptions and limitations of the developed algorithm: The data should be sorted in ascending order of salaries The boundaries of the open intervals are defined Salary intervals should not overlap The sum of the population shares in the source data should be equal to 100% The assumption of uniform distribution within the intervals is used Linear interpolation is used to determine the decile boundaries. The results are saved to a text file and graph in PNG format.
The article is published in the version approved by the reviewers (after receiving a positive review recommending the manuscript for publication), with corrections made by the author (submitted after receiving editorial comments, if any).
The review is published in open access directly after the text of the article itself. All versions of the author's corrections are stored in the publisher's repository and may be available upon request by authorized organizations. References
1. Ioffe, Y. A., & Tsirlin, L. M. (Eds.). (1939). Statistical collection of technical and economic indicators of the national economy of the USSR and capitalist countries for 1913–1937.
2. Stalin, J. V. (1931, June 23). New conditions – new tasks of economic construction: Speech at the meeting of economic workers. Retrieved December 1, 2025, from https://istmat.org/node/31749-ysclid=mix0nyt8tr13152206 3. Sokolov, A. K. (2010). Problems of labor motivation in Soviet enterprises. In A. N. Sakharov (Ed.), Proceedings of the Institute of Russian History (Vol. 9, pp. 174-224). Russian Academy of Sciences, Institute of Russian History. 4. Borodkin, L. I. (2022). Differentiation of wages of industrial workers at the twilight of the NEP: Between "equalization" and labor stimulation. Ural Historical Bulletin, 1, 27-37. https://doi.org/10.30759/1728-9718-2022-1(74)-27-37 5. Borodkin, L. (2023). Differentiation of wages in the Ural industry: on the way to the “Great Turning Point”. Historical informatics, 4, 96-103. https://doi.org/10.7256/2585-7797.2023.4.69334 6. Vladimirov, V. N. (2022). Differentiation of wages of workers and employees in the Siberian region (1925–1929): Decile coefficients and Gini index. Bulletin of Tomsk State University, 485, 87-93. https://doi.org/10.17223/15617793/485/10 7. Vladimirov, V. N., Nezhentseva, N. V., & Shchetinina, A. S. (2022). Differentiation of wages of workers in the Siberian region during the NEP. Ural Historical Bulletin, 1, 51-62. https://doi.org/10.30759/1728-9718-2022-1(74)-51-62 8. Garskova, I. M. (2022). Dynamics of inequality in wage payment in the sectors of Soviet industry during the NEP: A comparative analysis of data by professional groups. Ural Historical Bulletin, 1, 38-50. https://doi.org/10.30759/1728-9718-2022-1(74)-38-50 9. Labor in the USSR. (1932). Statistical reference book. TsUNKHU Gosplan of the USSR. 10. Labor in the USSR. (1936). Statistical reference book. TsUNKHU Gosplan of the USSR and V/O Soyuzorguchet. 11. Number and wages of workers and employees in the USSR. (1936). Results of the one-time accounting for March 1936. TsUNKHU Gosplan of the USSR and V/O Soyuzorguchet. 12. Ilyukhov, A. A. (2010). How the Bolsheviks paid: The policy of Soviet power in the field of wage payment in 1917–1941. Russian Political Encyclopedia (ROSSPEN). 13. Schmidt, V. V. (1928). The position of the working class in the USSR. 14. Bergson, A. (1946). The structure of Soviet wages: A study in socialist economics. Harvard University Press. 15. Pollyak, G. (1935). Wage differentiation in metallurgy. Planned Economy, 9, 82-95. 16. West Siberian region: Materials on the economy of the region. (1932). Zapsibpravleniye Narkhozyucheta: OGIZ Zapsibsibotdel. 17. Results of the development of the national economy and cultural construction of Western Siberia for the first five-year plan 1928–1932. (1934). West Siberian provincial planning commission. 18. West Siberian region in new borders in figures: A brief statistical reference book. (1935). TsUNKHU Gosplan of the USSR, West Siberian Provincial Department of National Economic Accounting. 19. National economy of Zapsibregion: Statistical annual. (1936). West Siberian Provincial Department of National Economic Accounting, TsUNKHU Gosplan of the USSR. 20. West Siberian region in figures, 1936: A brief statistical reference. (1936). TsUNKHU Gosplan of the USSR, West Siberian Provincial Department of National Economic Accounting. 21. Nikitin, M. A. (1935). The pearl of Kuzbass. 22. Bulletin of labor and industry statistics. (1929). No. 6-7-8. Central Statistical Office, Siberian Provincial Statistical Department. 23. The second coal base of the USSR. Kuzbass. (1936). Edited by mining engineer M. S. Stroilov; All-Union Trust of coal industry of Kuznetsk and Minusinsk basins "Kuzbassugol."
Peer Review
Peer reviewers' evaluations remain confidential and are not disclosed to the public. Only external reviews, authorized for publication by the article's author(s), are made public. Typically, these final reviews are conducted after the manuscript's revision. Adhering to our double-blind review policy, the reviewer's identity is kept confidential.
| |||||||||||||||||||||||||||||||||||||||||||||||||||||||||||||||||||||||||||||||||||||||||||||||||||||||||||||||||||||||||||||||||||||||||||||||||||||||||||||||||||||||||||||||||||||||||||||||||||||||||||||||||||||||||||||||||||||||||||||||||||||||||||||||||||||||||||||||||||||||||||||||||||||||||||||||||||||||||||||||||||||||||||||||||||||||||||||||||||||||||||||||||||||||||||||||||||||||||||||||||||||||||||||||||||||||||||||||||||||||||||||||
| We use cookies to make your experience of our websites better. By using and further navigating this website you accept this. | Accept and Close |
